Intro
Sentaurus is one of the most advanced Technology CAD tools in the industry today to simulate the fabrication procedures and electrical characteristics of semiconductor devices.
SPROCESS is used to generate device structure
SDEVICE is used to simulate IV characteristic
Files
Right click node > Visualize > Sentaurus Visual (Select File...)
1D plots in _des.plt
2D plot (cross-section) in .tdr
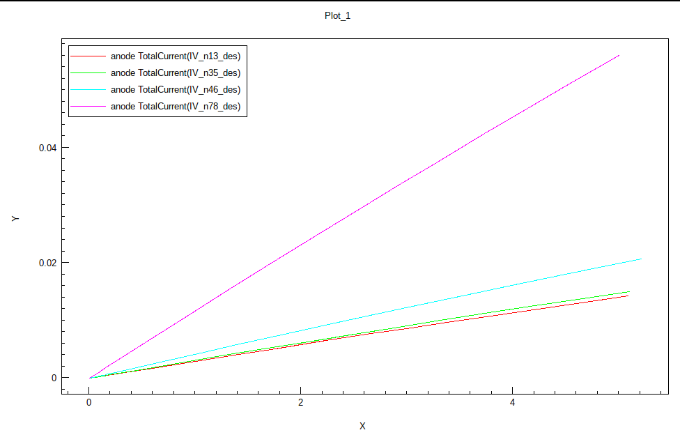
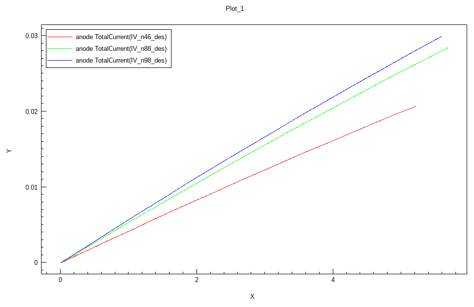
Plot IV
In left window: anode > InnerVoltage > To X-Axis > TotalCurrent > To left Y-Axis.
Export under Data tab.
Implant Energy
Implant energy refers to the kinetic energy of ions (dopant atoms or molecules) during the ion implantation process in semiconductor fabrication. It determines how deeply the implanted ions will penetrate into the substrate (typically silicon). Higher implant energies result in ions traveling further into the substrate, creating a deeper implantation profile.
The implant dose refers to the total number of ions implanted per unit area of the substrate during the ion implantation process in semiconductor fabrication. It is a measure of how many dopant atoms are introduced into the silicon or other materials and is typically expressed in units of atoms/cm².
Results
Q1
Q2
Max: 6.22E19
Depth: 1um



